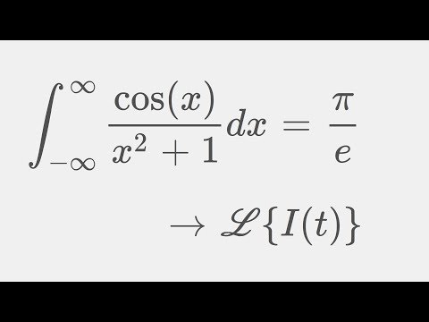
Merch :v - Former video: Leibniz rule: Help me create more free content! =) Let us tackle this integral once again! We are going to combine the tools of complex and real analysis, featuring papa cauchy's residue funhouse, feynman integration and contour integration! Have fun =) Twitter: Visit my website! =)











